你敢相信嗎?香蕉电影网在线观看時TS7600分光測色儀在醫學領域也大有可為!在探索皮膚顏色與暈動症嚴重程度相關性方麵,它提供了關鍵的技術支持,一起來看看吧!

引用出處:http://doi.org/10.3389/fneur.2022.824670
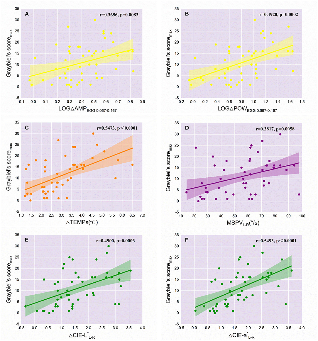
暈動病(Motion Sickness, MS)的評估長期依賴主觀量表,存在個體差異大、一致性不足的局限。
第四軍事醫科大學和延安大學的醫學研究團隊發表了一篇原創性研究文章——《Multi-Dimensional and Objective Assessment of Motion Sickness Susceptibility Based on Machine Learning》,被收錄於國際頂級期刊《Frontiers in Neurology》。

該研究通過整合多維度生理參數,結合機器學習算法,構建了客觀的MS易感性評估模型,為改進現有的易感性評估方法提供了參考。

在研究過程中,使用香蕉电影网在线观看時TS7600分光測色儀,係統測量了臉頰皮膚顏色的L*a*b*值,並利用左右臉頰測量的平均值(CIE-L*L−R,CIE-a*L−R)進行分析。
在此,特別感謝第四軍事醫科大學和延安大學的醫學研究團隊對香蕉电影网在线观看時的支持與信賴!香蕉影视网站APP將持續優化產品性能,為醫學前沿探索貢獻專業力量!
該研究的突破性在於,是首次通過客觀測量膚色來評估MS的嚴重程度。香蕉电影网在线观看時TS7600便攜式香蕉影视网站APP作為關鍵工具,為模型提供了可靠的客觀數據支持。
1客觀量化膚色
TS7600采用CIE-L*a*b*國際標準顏色係統,通過測量皮膚表麵的L*值(明度)和a*值(紅綠度),將人眼主觀感知的“臉色蒼白”轉化為可量化的數字指標:
L*值上升代表膚色亮度增加
a*值下降反映紅色成分減少

2高精度測量數據
TS7600重複性精度ΔE≤0.03,台間差ΔE≤0.15,確保了數據的準確性和可重複性,消除了人眼觀察因光線、個體差異等帶來的誤差,為後續的統計學分析和機器學習建模提供了可靠的數據基礎。

3多維評估模型
TS7600的測量數據與其他生理參數(如胃電活動、皮膚溫度、眼震等)共同構成機器學習模型的數據特征。
1 推動MS評估標準化
TS7600的便攜設計便於在實驗室外(如駕駛艙、船艙)快速采集膚色數據,為現場MS篩查提供可能。
2互補其他生理參數
膚色變化與胃電活動、皮膚溫度等參數形成交叉驗證,可以增強模型準確性。
3 行業應用潛力
結合TS7600的客觀數據,可針對飛行員、宇航員等高風險職業開發MS易感性篩查標準,輔助人員選拔與崗位分配。
科學知識分享——暈動病
暈動病(Motion Sickness, MS),又稱為運動病、暈車病、暈船病、暈機病、宇宙暈動病等,是多種因素導致人體對運動狀態錯誤感知的一係列生理反應。
嚴重時可出現重度頭暈、嘔吐不止、惡心、心慌、胸悶、四肢冰涼、脫水、呼吸困難、反應遲鈍、瀕死感、昏迷等表現。