為獲得視覺上較均勻的顏色空間,CIE推薦CIE1976(L*a*b*)色空間和CIE1976(L"u*v*)色空間,並分別規定了色差計算方法。本文主要介紹了CIE1976(L*a*b*)色空間.。

注:本章中用腳標0和1代表用於色差比較的兩個樣品。
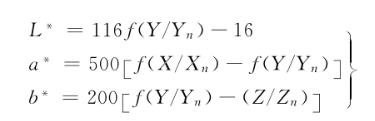
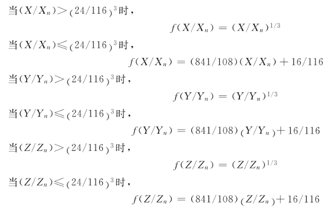
近似均勻的CIELAB三維色空間由直角坐標L*,A*,b*構成,L*,A*,b*由式(2)確定:

式中:
X、Y、Z——被測物體色刺激在CIE1931標準色度係統中的三刺激值X、Y、Z,或在CIE1964標準色度係統中的三刺激值X10、Y10、Z10
Xn、Yn、Zn——給定的白物體色刺激的三刺激值。

在通常情況下,給定的白物體色刺激是指與被測物體色在相同的光源照明下,完全漫反射體反射到觀察者眼中的色刺激,其三刺激值在數值上即為照明光源或照明體的三刺激值。
CIE照明體在CIE1931標準色度係統中的三刺激值X,、Y、Z,見表1。

CIE照明體在CIE1964標準色度係統中的三刺激值X10、Y10、Z10見表2。

CIELAB色空間示意圖見圖2。
CIELAB色空間中與明度、彩度和色調近似相關的量和計算公式分別是:
1)CIE1976明度L*,計算方法同式(2)中L*。
2)CIE1976 a,b彩度(簡稱CIELAB彩度)C*ab ,計算方法如下:

3)CIE1976 a,b色調角(簡稱CIELAB色調角)hab,計算方法如下:

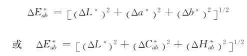
1)兩個顏色樣品的CIE1976 a,b色差(簡稱CIELAB色差)ΔE或計算方法如下:

式中,△L* 是CIELAB明度差,△a*、△b* 是CIELAB色品指數差,計算方法見式2);ΔC高是CIELAB彩度差,計算方法見式3);△H高是CIELAB色調差,計算方法見式5)或式6)。
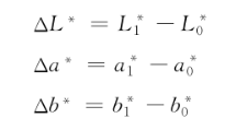
2)CIELAB明度差和色品指數差:

3)CIELAB彩度差:

4)CIELAB色調角差:

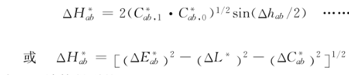
5)CIELAB色調差:

對於不在無彩色軸上的小色差,ΔH*ab 可以按下列式子計算:

式中,Δhab的單位是弧度。
注1:ΔH*ab 與Δhab的正負符號相同。
注2:當Δhab的絕對值趨近180度時,可不必計算CIELAB色調差和彩度差。